Orbital Decay of X-ray Binaries

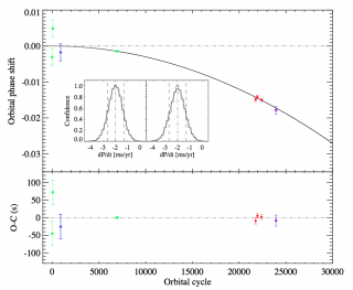
The authors investigate the orbital decay of two black hole X-ray binaries. Combined with previous data, they were able to measure how fast the orbit is decaying and make predictions about the exact cause of this orbital decay. These systems are some of the best to look for this orbital decay because of their extreme masses compared to other systems. By obtaining spectra to create a radial velocity curve, the authors were able to add an additional O-C point with a larger baseline than before. This larger baseline is important because it allows time for small changes to build up.

Read the full story on Astrobites