This information was originally published as a series of reports by AAVSO observer Doug West in 2003, outlining his experiments and calibrations of the Optec SSP-4 infrared photometer
SSP-4 Photometer Observation Report and Analysis #1
By Doug West
16 May 2003
This report represents my first set of observations with the SSP-4 (1mm detector). What I have tried to accomplish with this set of observations is to refine my observation technique so that I can make accurate and repeatable measurements. I feel this goal has been accomplished, that is, the SSP-4 photometer is capable of repeatable measurements with a predictable accuracy. I plan to add to this report as I gather more observations. In my next phase of observations I will concentrate on determination of the color transformation coefficients, airmass extinction terms, and the signal-to-noise (SNR) dependence with magnitude.
Table 1 presents the results of differential photometry measurements taken with the Optec SSP-4 (1mm detector). The telescope used was a Meade 0.25m SCT in alt-az configuration. The column labeled "Comp SNR" and "Target SNR" represents the SNR of the comparison and target stars, respectively. The SNR is calculated from the ratio (average counts for n measurements)/(standard deviation for n measurements). The measurements in table 1 have not been corrected for color and airmass differences between the target and comparison stars. The SSP-4 detector temperature is assumed to be -40C unless noted. For some measurements I added a flip mirror mounted to the telescope. The flip mirror functioned as a right angle prism. Adding the flip mirror caused a decrease in the flux by approximately 0.5 magnitude. I used the flip mirror to increase the altitude of stars that I could observe. In the "straight through" configuration, that is, without the flip mirror, the SSP-4 will strike the telescope for stars with altitudes approximately 50 degrees or higher.
Table 1 - SSP-4 Differential Photometry
|
UT |
UT |
Comp Star |
|
|
Intg |
Comp |
Target |
Target |
Target |
|
|
Date |
Time |
Name |
Filter |
Gain |
Time |
SNR |
|
SNR |
Mag |
Notes |
|
5/6/03 |
2:15 |
Spica |
J |
10 |
5 |
42 |
Del Vir |
47 |
-0.31 |
1 |
|
5/6/03 |
2:15 |
Spica |
H |
10 |
5 |
49 |
Del Vir |
104 |
-1.10 |
1 |
|
5/6/03 |
2:10 |
Spica |
J |
10 |
5 |
42 |
Arcturus |
147 |
-2.30 |
1 |
|
5/6/03 |
2:10 |
Spica |
H |
10 |
5 |
49 |
Arcturus |
133 |
-2.98 |
1 |
|
5/6/03 |
2:35 |
Spica |
J |
10 |
5 |
79 |
Del Vir |
91 |
-0.32 |
1 |
|
5/6/03 |
2:35 |
Spica |
H |
10 |
5 |
35 |
Del Vir |
92 |
-1.16 |
1 |
|
5/6/03 |
2:45 |
Spica |
J |
10 |
5 |
25 |
Del Vir |
221 |
-0.36 |
1 |
|
5/6/03 |
2:45 |
Spica |
H |
10 |
5 |
43 |
Del Vir |
103 |
-1.07 |
1 |
|
5/9/03 |
2:15 |
SAO 119035 |
J |
10 |
5 |
22 |
SAO 156605 |
20 |
1.71 |
2 |
|
5/9/03 |
2:15 |
SAO 119035 |
H |
10 |
5 |
71 |
SAO 156605 |
40 |
1.02 |
2 |
|
5/9/03 |
2:15 |
SAO 119035 |
J |
10 |
5 |
22 |
SAO 138238 |
17 |
2.04 |
2 |
|
5/9/03 |
2:15 |
SAO 119035 |
H |
10 |
5 |
71 |
SAO 138238 |
43 |
1.28 |
2 |
|
5/9/03 |
2:15 |
SAO 119035 |
J |
10 |
5 |
22 |
Spica |
10 |
1.61 |
2 |
|
5/9/03 |
2:15 |
SAO 119035 |
H |
10 |
5 |
71 |
Spica |
12 |
1.84 |
2 |
|
5/9/03 |
2:15 |
SAO 119035 |
J |
10 |
5 |
22 |
SAO 156605 |
14 |
1.74 |
2 |
|
5/9/03 |
2:15 |
SAO 119035 |
H |
10 |
5 |
71 |
SAO 156605 |
42 |
1.25 |
2 |
|
5/9/03 |
2:45 |
SAO 119035 |
J |
10 |
5 |
25 |
SAO 156605 |
14 |
1.58 |
2 |
|
5/9/03 |
2:45 |
SAO 119035 |
H |
10 |
5 |
51 |
SAO 156605 |
42 |
0.84 |
2 |
|
5/9/03 |
2:45 |
SAO 119035 |
J |
10 |
5 |
25 |
SAO 138238 |
15 |
1.88 |
2 |
|
5/9/03 |
2:45 |
SAO 119035 |
H |
10 |
5 |
51 |
SAO 138238 |
53 |
1.21 |
2 |
|
5/12/03 |
1:55 |
Spica |
J |
10 |
5 |
42 |
SAO 139033 |
53 |
1.36 |
3 |
|
5/12/03 |
1:55 |
Spica |
H |
10 |
5 |
56 |
SAO 139033 |
118 |
0.29 |
3 |
|
5/12/03 |
2:05 |
Spica |
J |
10 |
5 |
15 |
SAO 139033 |
51 |
0.90 |
3 |
|
5/12/03 |
2:05 |
Spica |
H |
10 |
5 |
32 |
SAO 139033 |
122 |
0.16 |
3 |
|
5/12/03 |
2:20 |
Spica |
J |
10 |
5 |
157 |
SAO 139033 |
128 |
1.16 |
4 |
|
5/12/03 |
2:20 |
Spica |
H |
10 |
5 |
104 |
SAO 139033 |
241 |
0.32 |
4 |
|
5/12/03 |
2:30 |
Spica |
J |
10 |
5 |
45 |
SAO 139033 |
31 |
1.23 |
4 |
|
5/12/03 |
2:30 |
Spica |
H |
10 |
5 |
193 |
SAO 139033 |
152 |
0.33 |
4 |
|
5/15/03 |
2:00 |
Spica |
J |
10 |
5 |
36 |
SAO 139033 |
64 |
1.16 |
5 |
|
5/15/03 |
2:00 |
Spica |
H |
10 |
5 |
62 |
SAO 139033 |
183 |
0.30 |
5 |
|
5/15/03 |
2:10 |
Spica |
J |
10 |
5 |
44 |
SAO 139033 |
59 |
1.09 |
5 |
|
5/15/03 |
2:10 |
Spica |
H |
10 |
5 |
60 |
SAO 139033 |
118 |
0.31 |
5 |
|
5/15/03 |
2:35 |
Spica |
J |
10 |
5 |
41 |
SAO 139033 |
71 |
1.10 |
5 |
|
5/15/03 |
2:35 |
Spica |
H |
10 |
5 |
66 |
SAO 139033 |
101 |
0.08 |
5 |
Table 1 Notes
- Clear, T(amb) = 70F, no flip mirror, averaged over six integrations
- Clear, humid, T(amb)=80F, with flip mirror, average over seven integrations
- Clear, 1/2 moon, T(amb)=67F, used flip mirror, average over seven integrations
- Clear, 1/2 moon, T(amb)=67F, without flip mirror, average over seven integrations
- Clear, full moon, T(amb)=70F, without flip mirror, average over seven integrations
Table 2 - Catalog Magnitude for Stars in Table 1
|
Star |
Spectral Type |
J |
H |
Source/Note |
|
SAO 105223 |
K3II |
0.32 |
-0.38 |
Standard - UKIRT/Henden |
|
Spica |
B1III |
1.51 |
1.58 |
UKIRT |
|
Del Vir |
M3III |
-0.13 to -0.31 |
-.09 to -1.13 |
Gezari+ 1999 |
|
Antares |
M1.5Ib |
-2.40 to -3.13 |
-3.47 to -.377 |
Gezari+ 1999 |
|
Arcturus |
K1.5III |
-2.18 to -2.52 |
-2.81 to -3.05 |
Gezari+ 1999 |
|
Altair |
A7V |
0.39 |
0.25 |
UKIRT |
|
SAO 139033 |
M3III |
1.19 |
0.32 |
UKIRT |
|
SAO 119035 |
M1III |
1.05 |
0.25 |
UKIRT |
|
SAO 156605 |
G8III |
1.68 |
1.07 |
UKIRT |
|
SAO 138238 |
K3III |
1.33 |
1.16 |
UKIRT |
Conclusions:
-
Repeatable observations can be taken with the SSP-4.
-
Using the 05/12 and 05/15 observations with Spica as the comparison star and SAO 139033 as a target star you obtain for SAO 139033: J = 1.14 +/- 0.05 and H = 0.26 +/- 0.04. The error term is the standard deviation of the mean for seven measurements. These J and H values are within 1.5*error of the published values for SAO 139033. This is reasonable when you consider both catalog J and H magnitudes for Spica and SAO 139033 have an error of 0.05 mag and are both small amplitude variable stars. This also indicates that the color correction terms will be small since these two stars are of very different color.
References:
- Gezari D.Y., Pitts P.S., Schmitz M., Catalog of Infrared Observations, Edition 5, 1999, CDS catalog number II/225.
- UKIRT Bright Standards, http://www.jach.hawaii.edu/JACpublic/UKIRT/astronomy/calib/bright_stds.html
SSP-4 Photometer Observation Report and Analysis #2
By Doug West
3 June 2003
In this report I develop the relationship between the signal-to-noise (SNR) and the error in magnitude for a single five second integration with the SSP-4. The SNR is calculated from the ratio (average counts for n measurements)/(standard deviation for n measurements). Note that the standard deviation is for a single measurement not for the mean. For the observations shown in figures 1 and 2, n was seven or eight, in other words, I took seven or eight five second integrations per band. The sky background count was an average of three five second integrations. The telescope used was a Meade LX200 0.2m SCT and the observing setting is suburban. I can typically see 4+ magnitude stars naked eye near zenith. Figures 1 and 2 show the dependence of the SNR upon the magnitude of the star.
In table 1, the columns labeled “J Band SNR” and “H Band SNR” represents the average SNR that would be expected for stars with magnitudes between -2 and 4. These numbers are derived from the exponential formulas contained in figures 1 and 2. The columns with labels “J Band Error” and “H Band Error” represent the expected error (one sigma) associated with each value of SNR. The formula for calculation of the estimated error is 1.0857/SNR.
Table 1 - Estimated SNR and Error as a Function of Magnitude
|
|
J Band |
J Band |
H Band |
H Band |
|
Mag |
SNR |
Error |
SNR |
Error |
|
-2 |
456 |
0.00 |
196 |
0.01 |
|
-1 |
255 |
0.00 |
148 |
0.01 |
|
0 |
143 |
0.01 |
111 |
0.01 |
|
0.5 |
107 |
0.01 |
96 |
0.01 |
|
1 |
80 |
0.01 |
84 |
0.01 |
|
1.5 |
60 |
0.02 |
72 |
0.01 |
|
2 |
45 |
0.02 |
63 |
0.02 |
|
2.5 |
33 |
0.03 |
55 |
0.02 |
|
3 |
25 |
0.04 |
47 |
0.02 |
|
3.5 |
19 |
0.06 |
41 |
0.03 |
|
4 |
14 |
0.08 |
36 |
0.03 |
A couple of general comments. I need to complete figures 1 and 2 with observations for stars fainter that 2.5 magnitude. In figure 2, the SNR drops lower than would be expected for stars brighter that 0th magnitude. I am not sure if this an observational problem or an instrumentation problem or just an odd coincidence. More observations are needed to clarify these points. In my next report I will cover color the transformation coefficients and the airmass extinction parameters.
SSP-4 Photometer Observation Report and Analysis #3 - Color Transformation Coefficients and Airmass Extinction
By Doug West
3 June 2003
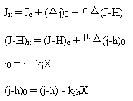
In this report I present the equations used in two band photoelectric photometry, determination of the color transformation coefficients, and determination of the extinction coefficients.
The equations used for two band photometry come directly from the book Astronomical Photometry by A. Henden and R. Kaitchuck (1982, Van Nostrand Reinhold Co.):

where
- J = J band magnitude in the standard system
- j = instrumental j band magnitude
- H = H band magnitude in the standard system
- h = instrumental h band magnitude
- kj = principle extinction coefficient
- kjh = principle extinction coefficient
- [epsilon] = transformation coefficient
- [mu] = transformation coefficient
- ZPj = zero-point constant
- ZPjh = zero-point constant
To determine the quantities listed above I used the Henden and Kaitchuck Astronomical Photometry Software For IBM-PC. The J and H magnitudes for the calculations came from the IR Photometry page http://www.jach.hawaii.edu/JACpublic/UKIRT/astronomy/calib/bright_stds.html.
After four nights of observing the color transformation coefficients became [epsilon] = -.030 +/- 0.004 and [mu] = .98 +/- 0.01. The extinction coefficients are kj = 0.10 +/- 0.03 (mags/ unit airmass) and kjh = 0.04 +/- 0.03. As a comparison, the Mauna Kea summit extinction values are kj = 0.114 and kjh = 0.046 (http://www.jach.hawaii.edu/JACpublic/UKIRT/astronomy/exts.html).
SSP-4 Photometer Observation Report and Analysis #4 - Observations
Doug West, West Skies Observatory
09 July 2003
In this report I present my initial observations with the SSP-4 and a 0.25 SCT through 17 June 2003. My observation technique is as follows:
- Set gain =10, Detector temperature = -40 C, and integration time = 5 seconds. Set dark current greater than 100.
- Eight observations with J filter of star
- Three observations of sky with J filter
- Eight observations with H filter of star
- Three observations of the sky with H filter.
- Next star and repeat steps 2-5.
In a typical observation session, each star is measured at least twice in each filter band. Each observation has been reduced with the Henden and Kaitchuck Astronomical Photometry Software For IBM-PC. This software takes into account color differences between the comparison stars and airmass differences.
Table 1 contains my first set of observations with the photometer. Each of the column headings is self explanatory except for the “Est Error” column. The error estimated by taking the standard deviation of the mean. Taking at least two observations per target and using two comparison stars results in at least four estimates of the target magnitude. The standard deviation of the mean of these multiple observations becomes the estimated error. All of the observations in table 1 have been submitted to the AAVSO or ALPO.
Table 1 - J and H Band Observations with the SSP-4
|
Star/Planet |
UT Date |
HJD |
Mag |
Band |
Comparison Stars |
Est Error |
Note |
|
Rho Cas |
5/22/03 |
2452781.9204 |
2.49 |
J |
Alp Cas and Bet Cas |
0.04 |
1 |
|
Rho Cas |
5/22/03 |
2452781.9204 |
1.96 |
H |
Alp Cas and Bet Cas |
0.04 |
1 |
|
Mars |
5/28/03 |
2452787.9319 |
-2.36 |
J |
SAO 145862 and SAO 163481 |
0.04 |
1,2 |
|
Mars |
5/28/03 |
2452787.9319 |
-2.67 |
H |
SAO 145862 and SAO 163481 |
0.04 |
1,2 |
|
Rho Cas |
5/29/03 |
2452788.9101 |
2.48 |
J |
Alp Cas and Bet Cas |
0.04 |
1 |
|
Rho Cas |
5/29/03 |
2452788.9101 |
1.98 |
H |
Alp Cas and Bet Cas |
0.04 |
1 |
|
FH Vir |
6/3/03 |
2452793.6151 |
2.44 |
J |
Spica and SAO 138917 |
0.04 |
1 |
|
FH Vir |
6/3/03 |
2452793.6151 |
1.71 |
H |
Spica and SAO 138917 |
0.04 |
1 |
|
SW Vir |
6/3/03 |
2452793.6007 |
-0.63 |
J |
Spica and SAO 138917 |
0.04 |
1 |
|
SW Vir |
6/3/03 |
2452793.6007 |
-1.47 |
H |
Spica and SAO 138917 |
0.04 |
1 |
|
Chi Aqr |
6/9/03 |
2452799.9167 |
0.91 |
J |
SAO 145862 and SAO 145991 |
0.05 |
1 |
|
Chi Aqr |
6/9/03 |
2452799.9167 |
0.00 |
H |
SAO 145862 and SAO 145991 |
0.05 |
1 |
|
Uranus |
6/9/03 |
2452799.9112 |
5.59 |
J |
SAO 145862 and SAO 145991 |
0.20 |
1 |
|
Uranus |
6/9/03 |
2452799.9112 |
5.09 |
H |
SAO 145862 and SAO 145991 |
0.20 |
1 |
|
SW Vir |
6/9/03 |
2452799.6072 |
-0.65 |
J |
Spica and SAO 138917 |
0.04 |
1 |
|
SW Vir |
6/9/03 |
2452799.6072 |
-1.48 |
H |
Spica and SAO 138917 |
0.05 |
1 |
|
FH Vir |
6/9/03 |
2452799.6242 |
2.45 |
J |
Spica and SAO 138917 |
0.04 |
1 |
|
FH Vir |
6/9/03 |
2452799.6242 |
1.68 |
H |
Spica and SAO 138917 |
0.05 |
1 |
|
FH Vir |
6/12/03 |
2452802.6031 |
2.58 |
J |
Spica and SAO 138917 |
0.04 |
1 |
|
FH Vir |
6/12/03 |
2452802.6031 |
1.73 |
H |
Spica and SAO 138917 |
0.04 |
1 |
|
EV Vir |
6/12/03 |
2452802.6132 |
2.67 |
J |
Spica and SAO 138917 |
0.09 |
1 |
|
EV Vir |
6/12/03 |
2452802.6132 |
1.85 |
H |
Spica and SAO 138917 |
0.09 |
1 |
|
SW Vir |
6/12/03 |
2452802.6139 |
-0.64 |
J |
Spica and SAO 138917 |
0.04 |
1 |
|
SW Vir |
6/12/03 |
2452802.6139 |
-1.49 |
H |
Spica and SAO 138917 |
0.04 |
1 |
|
Del Sco |
6/16/03 |
2452806.6548 |
1.35 |
J |
SAO 184336 and SAO 158840 |
0.04 |
3 |
|
Del Sco |
6/16/03 |
2452806.6548 |
1.25 |
H |
SAO 184336 and SAO 158840 |
0.04 |
3 |
|
V533 Oph |
6/16/03 |
2452806.6791 |
1.70 |
J |
SAO 122671 and SAO 142004 |
0.04 |
3 |
|
V533 Oph |
6/16/03 |
2452806.6791 |
0.78 |
H |
SAO 122671 and SAO 142004 |
0.04 |
3 |
|
Rho Cas |
6/17/03 |
2452807.9110 |
2.39 |
J |
Alp Cas and Bet Cas |
0.06 |
3 |
|
Rho Cas |
6/17/03 |
2452807.9110 |
2.08 |
H |
Alp Cas and Bet Cas |
0.07 |
3 |
|
Mars |
6/17/03 |
2452807.9400 |
-3.05 |
J |
SAO 145862 and SAO 163481 |
0.05 |
2,3 |
|
Mars |
6/17/03 |
2452807.9400 |
-3.36 |
H |
SAO 145862 and SAO 163481 |
0.05 |
2,3 |
Notes:
1. kj = 0.09, kh = 0.07, [epsilon] = -.03, [mu] = 0.98
2. One observation per band only
3. kj = 0.10, kh = 0.07, [epsilon] = -.03, [mu] = 0.98
Table 2 - Catalog Magnitude for Stars in Table 1
|
Star |
Spectral Type |
J |
H |
Source/Note |
|
Spica |
B1III |
1.51 |
1.58 |
UKIRT |
|
Alp Cas |
K0IIIa |
0.42 |
-0.19 |
Cat. of IR Observations |
|
Bet Cas |
F2IV |
1.65 |
1.40 |
Cat. of IR Observations |
|
SAO 145862 |
G2I |
1.48 |
1.09 |
UKIRT |
|
SAO 163481 |
F8V+A0 |
1.45 |
0.98 |
UKIRT |
|
SAO 138917 |
F0V |
2.05 |
1.90 |
UKIRT |
|
SAO 145991 |
G8III |
2.61 |
2.12 |
UKIRT |
|
SAO 122671 |
K2III |
0.90 |
0.40 |
UKIRT |
|
SAO 142004 |
K0III |
1.75 |
1.27 |
UKIRT |
|
SAO 158840 |
A3IV |
2.50 |
2.45 |
UKIRT |
|
SAO 184336 |
B2III |
2.49 |
2.44 |
UKIRT |
Equations for differential photometry

where
- J = J band magnitude in the standard system
- j = instrumental j band magnitude
- H = H band magnitude in the standard system
- h = instrumental h band magnitude
- kh = principle extinction coefficient
- kjh = principle extinction coefficient
- [epsilon] = transformation coefficient
- [mu] = transformation coefficient
- ZPh = zero-point constant
- ZPjh = zero-point constant
- x subscript denotes the unknown star
- c subscript denotes the comparison star